一楼一凤论坛的最新消息今天深圳桑拿飞机论坛2025 ,一品楼免费信息论坛春风阁(全国信息) ,全国上课品茶论坛 ,一品楼全国论坛闲聊51一品茶楼论坛

卓邦案例分析

您所在的位置: 首页 > 资讯频道 > 技术支持 > 技术文章 > 旅游剧场剧院声学设计初探——以炎帝大剧院为例

旅游剧场剧院声学设计初探——以炎帝大剧院为例

来源:ZOBO卓邦 发布日期 2023-02-20 浏览:

  还可以了解更多关于会议室解决方案、产品和案例  等信息。

  还可以了解更多关于体育场馆解决方案、产品和案例 等信息。

  还可以了解更多关于剧场剧院解决方案、产品和案例 等信息。

  还可以了解更多关于学校教育    解决方案、产品和案例    等信息。



  旅游剧场的建筑声学设计往往得不到应有重视,导致剧场内音质不佳,影响观演效果。本文以神农架景区炎帝大剧院为例,从建筑声学设计、计算机仿真模拟和实测结果进行分析,给旅游剧场的声学设计提供一些参考。

旅游剧场剧院声学设计初探

  一、引言

  随着旅游产业的发展,旅游演艺成为其中不可或缺的内容。诸多旅游景区、主题乐园内纷纷设置以游客为主体观众的各种类型的剧场。文化行业标准WH/T 59 《演出场馆设备技术术语 剧场》将这类剧场定义为旅游剧场(或游乐剧场)。

  旅游剧场的演出富有旅游景区的特色或者切合主题乐园的主题需要,演出类型多样,如舞蹈、音乐、杂技、戏曲、多媒体及新科技手段演示等,大多数是专剧专演,长年演出较为固定的剧目。旅游剧场的投资往往没有剧场投资高,并且大部分的投资用于舞台灯光、视频和声效,而对于建筑声学设计不太重视,导致不能达到很好的音质效果。笔者以神农架景区炎帝大剧院为例,提出建筑声学设计要点,为旅游剧场声学设计提供参考。

  二、剧场概况

  炎帝大剧院是为《神农秘境》剧目而建设,以反映当地的自然风光、风土人情和扩大当地旅游影响力为主要目的。剧场内的建筑、装饰风格和舞台工艺都围绕剧情设计。舞台和观众厅有关参数见表1、表2。剧场平剖面图见图1、图2。

1旅游剧场剧院声学设计初探——以炎帝大剧院为例

2旅游剧场剧院声学设计初探——以炎帝大剧院为例

图1 炎帝大剧院平面图

3图1 炎帝大剧院平面图

图2 炎帝大剧院剖面图

  三、建筑声学设计

  1、建筑声学设计要点

  由于旅游剧场以扩声使用为主,因此建筑声学设计主要是为扩声的使用提供良好的先天条件。建筑声学设计要点主要是:1)控制合适的混响时间和背景噪声限值;2)观众厅内不出现回声、颤动回声和声聚焦等音质缺陷。

  炎帝大剧院建筑特点:1)观众厅未设置楼座,从表2可以看出,观众厅纵向长度、横向宽度和室内净高都偏大。而剧场合适的纵向长度≤30 m,横向宽度≤17 m,室内净高 ≤8.5 m。过宽、过高的体型容易导致侧墙面和顶面的反射声线形成回声,因此,侧墙和顶面应考虑吸声或者扩散构造。2)观众厅未设置吊顶。考虑表演和观众的互动氛围,厅内设置威亚,方便杂技演员在观众厅内表演,如此导致观众厅内每座容积偏大于正常值一倍。这对控制混响时间及其频率特性的难度加大,特别是低频混响时间难以控制。并且观众厅需要布置较多吸声材料,大地增加声学相关工程造价。3)舞台空间较大。由于剧场有多个场景切换,演员数量较多,如此会导致舞台的空调送风距离较远且舞台的空调噪声偏高,空调的气流噪声控制难度大。主舞台空调噪声过大会影响观众席前区观众观演。

  2、声学设计指标

  由于剧场以扩声系统使用为主,为保证扩声的效果,观众厅中频混响时间设计值略低,频率特性良好,厅内无声缺陷现象。确定的主要建声设计技术指标如表3所示。

4图1 炎帝大剧院平面图

  3、音质设计

  (1)体型设计

  剧场平面为钟形平面,台口侧墙根据声学要求设置成凸弧形扩散构造,一是使侧向反射声的延迟时间较短;二是增加扩散度。根据剧情需要,舞美在台口侧墙设置大量凹凸假山造型,假山造型面积约占马道以下侧墙面的三分之二。为使假山造型起到扩散效果,声学提供假山造型的扩散突出和宽度尺度要求,并提出面密度大于40 kg/m2的要求。

  观众厅由于未设置吊顶,结构顶较高(超过20 m),顶面的反射声易形成回声。另外,观众厅的马道底部为钢板硬反射面,因此利用马道底部和容易产生不利声反射的顶面设置铝板网吸声构造,考虑增加构造的低频吸声性能,采用100 mm厚,容重48 kg/m3的憎水玻璃棉包裹黑色玻纤布。

  (2)混响时间控制

  观众厅混响时间设计指标是按照多用途剧场确定为中频(500 Hz、1 000 Hz)1.3 s。后期随着剧场的演出形式明确,扩声系统除了采用线阵列扬声器,还在侧墙、后墙增加了若干效果声全频扬声器,为保证扩声系统的还音效果,混响时间设计指标按照多用途剧场低限考虑,调整混响时间为中频(500 Hz、1 000 Hz)1.1 s。

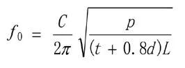
  根据表2,剧场的每座容积偏大许多,低频(125 Hz、250 Hz)混响时间控制比较困难。采用低频吸声特性较优越的防火穿孔板,根据共振频率公式计算,确定共振频率在低频125 Hz~250 Hz的穿孔吸声构造,穿孔率不大于 5 % ,板后空腔不小于150mm,经计算防火穿孔板共振频率在200 Hz,较好地解决了低频混响时间偏长的问题。另外,低频声无指向性,低频吸声防火穿孔板设置在观众厅侧墙后区和马道以上的台口墙面。

5图1 炎帝大剧院平面图  (1)

  式中:

  L——板后空腔深度(mm);

  t——板的厚度(mm);

  d——孔径(mm);

  C——声速(mm/s);

  P——穿孔率(穿孔面积/积×)。

  观众厅后墙为主扬声器朝向的墙面,后墙的不利声反射会在观众厅前区、舞台形成回声。观众厅后墙采用穿孔率大于20%的穿孔铝板强吸声构造。观众厅平均自由程大,顶部吸声材料的吸声效率较低,且距离声源越远效率越低,因此,顶部吸声材料设置在马道底部,尽量靠近主扬声器。观众厅的顶板为多个坡屋顶连续的造型,朝向舞台的顶面容易产生不利声反射返回至舞台,形成回声。综合吸声特性、施工的便易性和经济性,采用25 mm有机纤维吸声喷涂,吸声喷涂容重不小于50 kg/m3。

  (3)舞台音质设计

  舞台和观众厅形成耦合空间,舞台空间的长混响对观众厅会造成不利声耦合,因此舞台采取强吸声措施,舞台混响时间应尽量和观众厅保持一致。炎帝大剧院较其他类型剧场大不相同,舞台上除大幕外,天幕、边幕、檐幕等均采用LED大屏代替。幕布具有中高频吸声特性,而LED屏几乎为反射面,因此,不能只是在主舞台局部墙面做吸声处理,需要舞台的所有墙面采用强吸声构造。墙面3 m以下采用防撞木丝吸音板,3 m 以上采用穿孔 FC 板,穿孔率 18 . 5% ,板后预留空腔150 mm ,空腔内填充50 mm厚,容重48 kg/m3玻璃棉,玻璃棉包裹无纺吸音布。

  (4)噪声控制设计

  a、观众厅

  观众厅采用座椅下送风,厅内能较好地控制送风气流噪声。观众厅回风口设置在观众厅侧墙标高5 m的位置,尺寸为5 m×0.5 m,百叶片长度超过2 m,回风口风速较低,不超过4 m/s,气流噪声控制较好?;胤缈诘牟分柿恳不嵊跋旆缈谠肷僖镀穸忍?,会导致叶片抖动辐射噪声,因此,声学要求铝百叶风口的叶片厚度不小于2 mm。另外,由于空调机房设置在三层,并且均未紧邻观众厅,观众厅送、回风管段均经过较长管段衰减,并且回风管设置了多个消声弯头,风机运行的噪声经管段衰减至回风口经消声计算满足观众厅内背景噪声限值要求。

  b、舞台

  主舞台送、回风口噪声为舞台主要噪声源。舞台台口高度10 m,主舞台宽度35.6 m,深度24.7 m,主舞台送风口距离地面约12.8 m,送风口为喷口。由于送风管经过较长距离和多个弯头的自然衰减作用,再加上房间的吸声衰减作用,即便是送风喷口风速7.4 m/s,终叠加的气流噪声值较低,也能满足背景噪声限值要求。

  侧舞台和后舞台风口距离主舞台演出区域较远,并且舞台内设置大量吸声材料,经计算,侧舞台和后舞台风口噪声衰减至主舞台区域时,各个频率均衰减20 dB以上,因此,侧舞台和后舞台的风口噪声对主舞台和观众厅几乎不会造成噪声影响。

  过渡季节排风机的噪声则可以通过设置片式消声器和消声弯头使风机运行噪声沿管段衰减后满足舞台背景噪声限值要求。

  四、计算机模拟分析

  根据计算机1:1仿真模拟,观众厅的三维模型和音质模拟结果如下:

  根据剧场的平剖面图建立观众厅的三维声学模型,共有4 604个包络面围成,见图3。

6图1 炎帝大剧院平面图

图3 计算机三维声学模型图

  观众厅空场状态下的主要声学参量:T30云图见图4、图5,接收点反射声序列模拟分析图见图6~图9。观众厅平面为左右对称,取半场均匀布置15点,接收点布置图见图10。各接收点平均混响时间结果和空场计算值见图11。

7图1 炎帝大剧院平面图

8图1 炎帝大剧院平面图

图6 接收点R9(1 000 Hz)反射声序列

9图1 炎帝大剧院平面图

图7 接收点R10(1 000 Hz)反射声序列

10图1 炎帝大剧院平面图

图8 接收点R13(1 000 Hz)反射声序列

11图1 炎帝大剧院平面图

图9 接收点R14(1 000 Hz)反射声序列

  从计算机仿真模拟结果可以看出,T30云图分布较均匀,各接收点的平均混响时间中频(500 Hz、1 000 Hz)平均值为1.14 s,空场计算值为1.16 s,计算机模拟结果和计算结果较符合,混响时间频率特性一致。并且从选取的接收点反射声序列图可以看出各点无回声音质缺陷。

12图1 炎帝大剧院平面图

图10 计算机仿真模拟接收点布置图

13图1 炎帝大剧院平面图

图11 混响时间计算机模拟值与计算值比较折现图

  五、建声测试结果

  剧场完工后,对观众厅和舞台空场状态下进行建声测试,各测点布置图见图12。

14图1 炎帝大剧院平面图

图12 建声测试测点布置图5.1 主要建声指标测试结果

  测试时由于条件限制,满场状态无法测量,考虑座椅采用的是剧场专用座椅,坐垫和靠背局部有软垫,且座椅底板穿孔处理,座椅坐人和不坐人的测试结果差距不大,故测试空场状态数据?;煜焓奔洳饬糠椒ú捎弥卸仙捶ǎ馐陨床捎锰?a class="attach inline_attach" href="http://m.dfhqv.cn/product/prsyx.html" target="_blank" title="扬声器系统">扬声器系统 ,测试信号采用粉红噪声,传声器位于距地面1.2 m处。传声器位置上的峰值声压高于相应频段内背景噪声45 dB,满足信噪比要求?;煜焓奔浜捅尘霸肷饬拷峁?3、图14。

15旅游剧场剧院声学设计初探——以炎帝大剧院为例

图13 混响时间实测与计算值比较折现图

16旅游剧场剧院声学设计初探——以炎帝大剧院为例

图14 背景噪声实测与设计指标比较折现图

5.2 建声测试结果分析

  (1)根据现场测量结果可知,观众厅各频段混响时间空场测量值与空场计算值基本接近,低频(125 Hz、250Hz)有一定提升,高频略有下跌,测得的低音比BR值1.26,可以看出观众厅混响时间及其频率特性良好。

  (2)舞台混响时间测试值和观众厅相比较略偏长,中频(500 Hz、1 000 Hz)比观众厅偏长约0.31 s。位于观众厅排座席和舞台口附近的R13~R15点测试数据并没有比观众厅混响时间平均值偏长或有较大偏差。由此可见,舞台空间混响时间偏长对于观众厅混响时间并未造成较大影响。综合经济性和舞台空间的实际状况,舞台空间的吸声处理满足设计和使用要求。

  (3)根据背景噪声测试结果可以看出,在空调开启的状态下,观众厅和舞台测得的倍频带声压明显优于设计目标NR 35噪声评价曲线。观众厅背景噪声满足 NR 25噪声评价曲线,舞台背景噪声满足NR 30噪声评价曲线。

  炎帝大剧院已经于2021年10月正式竣工首演,建设方邀请当地企业的职工、当地居民和各参建单位观看演出,参与演出的演员和观众对剧场的音质十分满意。该项目终声学效果能够达到甚至高于设计目标,很大程度是业主对建筑声学非常重视,声学相关装修采取专项分包,并且要求施工单位严格按照声学顾问的设计选择声学材料,实施声学构造。声学顾问根据扩声系统设计调整相适应的建声设计目标。终剧场声环境能取得较优的效果,达到各方满意的结果。

  六、结语

  (1)旅游剧场不同于其他类型剧场,混响时间设计指标应根据表演的形式、声效的要求,适当降低混响时间,以保证扩声的还音要求。

  (2)旅游剧场声学在做体型设计时,一般受到演出形式、舞美特殊要求的限制,往往达不到较优的体型,需要采取额外的声学措施,避免回声、多重回声等音质缺陷、混响时间过长等问题。

  (3)旅游剧场一般容积较大,吸声材料运用量大,声学相关工程造价较高。但遇到剧场投资有限,并且装饰效果要求不高、业主不重视时,声学措施的实施难度很大,常常导致观演效果不理想。

  (4)旅游剧场若是专剧专演,剧目的演出要求应尽早明确,声学宜尽早介入,建筑、舞台工艺、声学和舞美等相关在方案阶段充分沟通,提高各度,避免声学出现无法挽回的音质缺陷。

  (5)旅游剧场演出时气氛热烈,背景音乐欢快热烈,观众厅内背景噪声不影响观众观看演出即可,一般可按照规范中低限选择。

17旅游剧场剧院声学设计初探——以炎帝大剧院为例

  选自 《演艺科技》2022年第三期 饶紫云,胡小明,凡《旅游剧场声学设计初探——以炎帝大剧院为例》。转载请标注:演艺科技传媒。更多详细内容请参阅《演艺科技》。



  因篇幅有限请到资料下载   下载完整文件。

  还可以了解更多关于会议室解决方案、产品和案例 等信息。

  还可以了解更多关于体育场馆解决方案、产品和案例 等信息。

  还可以了解更多关于剧场剧院解决方案、产品和案例 等信息。

还可以了解更多关于学校教育   解决方案、产品和案例   等信息。